Coastal Living Spaces is your go-to destination for discovering stunning beachfront villas, luxury condos, and tropical retreats. Whether you're looking to buy, invest, or get inspired by seaside living, we bring you the best properties and lifestyle insights from the world’s most beautiful coastlines.
✕
Tutup
Beranda
/ 10+ Pathophysiology Of Bacterial Meningitis Ppt US
10+ Pathophysiology Of Bacterial Meningitis Ppt US
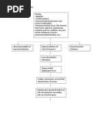
10+ Pathophysiology Of Bacterial Meningitis Ppt US. Inflammation of the meninges leads to decreased glucose receptor bacterial meningitis leads to a more permeable blood brain barrier (due to increased inflammation). Bacterialphysiology deepa babin asst prof,microbiology,tmc.
PPT - Cryptococcal pneumonia and meningitis PowerPoint ... from image3.slideserve.com There is a vaccine and the cdc has specific recommendations for who should receive it. Research methodology bacterial meningitis 1. Direct 'invasion' of brain or spinal cord does not appear to be a part of the pathophysiology.
In bacterial meningitis, bacteria reach the meninges by one of two main routes:
Bacteria are transported across epithelial cells in. Through the bloodstream or through direct contact between the meninges and either the nasal cavity or the skin. Most cases of bacterial meningitis are caused by streptococcus pneumoniae, haemophilus influenzae and neisseria meningitidis. Learn about the bacterial meningitis infection from cleveland clinic.
Berbagi
Posting Komentar
untuk "10+ Pathophysiology Of Bacterial Meningitis Ppt US"
Posting Komentar untuk "10+ Pathophysiology Of Bacterial Meningitis Ppt US"